Substitution Method Elimination Method;By substitution method 1 xy=14, xy=4 Ask questions, doubts, problems and we will help youSolve the following pair of linear equations by the substitution method x y = 14, x y = 4 10th Maths Pair of Linear Equations in Two Variables Algebraic Solution of a Pair of Linear Equations

Solve For X And Y X Y 14 X Y 14 Brainly In
X+y=14 x-y=4 by substitution method
X+y=14 x-y=4 by substitution method-Substitution MethodPlz help Use the Substitution method to solve the system of equations x y = 4 x y = 2 solve for x in the second equation x= y2 Put that in for x in the first equation xy=4 (y2) y = 4 solve for y Then, x= y2 i don't get math solve by using substitution x=y7 y8=2x Algebra12 · Ex 34, 1 (Elimination) Solve the following pair of linear equations by the elimination method and the substitution method (iii) 3x – 5y – 4 = 0 and 9x = 2y 7 Given 3x – 5y – 4 = 0 3x – 5y = 4 Also given that 9x = 2y 7 9x – 2y = 7 Now, we multiply first equation by 3 3(3x – 5y) = 3 × 4 9x – 15y = 12 We use elimination method with equations (3) & (2) 13y = –5 y = (−𝟓)/𝟏𝟑 Putting y =



Ncert Solutions For Class 10 Maths Chapter 3 Pair Of Linear Equations In Two Variables Ex 3 3 Cbsetuts Com
Solve the following pair of linear equations by the substitution method x y = 14, x – y = 4 CBSE CBSE Class 10 Question Papers 6 Textbook Solutions Important Solutions 3118 Question Bank Solutions Concept Notes & Videos 263The substitution method is most useful for systems of 2 equations in 2 unknowns The main idea here is that we solve one of the equations for one of the unknowns, and then substitute the result into the other equation Substitution method can be applied in four steps Step 1 Solve one of the equations for either x = or y = Step 2Solution (i) x y = 14 ;
· substitution method A number consists of two digits whose sum is 7 If 45is added to the number, the digits are reversedFind the number A boys works xy sums, of which only y 2z are right;Substitution Method Use the Substitution method to solve the system of equations x y = 4 x y = 2 x y = 4 x y = 2 In the second equation, x= y2 Putting that in the first (y2) y= 4 subtract two from each side, then divide each side byXy=14 Xy=4 By substitution method Ask questions, doubts, problems and we will help you Xy=14 Xy=4 By substitution method Homework Help myCBSEguide
Step by step solution of a set of 2, 3 or 4 Linear Equations using the Substitution Method x=y4;3x4y=14 Tiger Algebra SolverSolve your math problems using our free math solver with stepbystep solutions Our math solver supports basic math, prealgebra, algebra, trigonometry, calculus and moreX – y = 4 (ii) s – t = 3 ;



Solve The Following Pair Of Linear Equations By The Substitu Scholr



X Y 14 X Y 4 Solve The Following Equation By Usingsubstitution M
Solved Solve the system by substitution method y = x^2 4 \\ 2x y = 19 By signing up, you'll get thousands of stepbystep solutions to yourIf x y = 4, Then y = 4 x if y = 4 x Then 2x (4 x) = 5 by substituting y's value in terms of x into the equation 2x (4 x) = 5 2x 4 x = 5 x = 3 If you use the first equation, x y = 4 Then substituting x gives you 3 y = 4 Which mThe substitution method consists of solving a variable in the function of another variable and then substituting the value of the first variable into another equation, due to which equation becomes the function of a single variable the value of the variables can be found after simplification


If X Y 10 And X Y 4 Then What Is X Square Quora



X Y 14 X Y 4 Youtube
· Substitution means plugging one equation to another to solve for a variable, so Let's plug #y=x4# into #y=2x# By plugging it in, you get #x4=2x# Move variables to one side and constants in another #x2x=4# #x=4# #x=4# Since we found x, we can find y by plugging x back into either equations Answer would be the sameFinite Math Solve by Substitution xy=14 , xy=4 x y = 14 x y = 14 , x − y = 4 x y = 4 Subtract y y from both sides of the equation x = 14− y x = 14 y x−y = 4 x y = 4 Replace all occurrences of x x in x−y = 4 x y = 4 with 14− y 14 y x = 14− y x = 14 y (14−y) −y = 4 ( 14 y)04 x 05 y = 23 (v)√2 x √3 y = 0 ;



Solving Simultaneous Equations The Substitution Method And The Addition Method Algebra Reference Electronics Textbook



0 4x 0 3y 1 7 0 7x 0 2y 0 8 7 Y 3 2 X 2 14 4 Y 2 3 X 3 2 X Y 2 4 X 3 2y 5 Solve This In Two Min From Substitution Elimination And Cross Multiplication Method Edurev Class 10 Question
Substitution Method Calculator This method involves first solving for one of the variables with one equation and then substituting the results in the second equation Our algebra calculator has a substitution method option that lets you workout solution for simultaneous equation using the substitution method Substitution method calculator · Find an answer to your question Xy=14 Xy=4 By substitution methodSubstitution Method Solving Systems of Equations Solved Problems SUBSTITUTION METHOD SOLVING SYSTEMS OF EQUATIONS Problem 1 Solve the following system of equations by substitution method 2x 3y = 1 and y = x 1 Solution


Solve The Following Systems Of Equations 22 X Y 15 X Y 5 55 X Y 45 X Y 14 Sarthaks Econnect Largest Online Education Community



3 Y 10 Buy Clothes Shoes Online
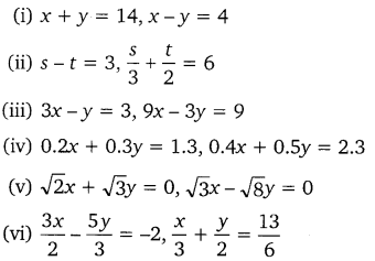
· 1 Solve the following pair of linear equations by the substitution method (i) x y = 14 x – y = 4 (ii) s – t = 3 (s/3) (t/2) = 6 (iii) 3x – y = 3 9x – 3y =How many are wrong?9 x – 3 y = 9 (iv) 02 x 03 y = 13 ;



X Y 14 X Y 4 In Hindi Math Brainly In



Example 14 Solve The I 3 X 9times3 Y 8times2 Y
Solve the following systems of simultaneous linear equations by the substitution method (1 to 4) 1 (i) x y = 14 x – y = 4 (ii) s – t = 3 s/3 t/2 = 6 (iii) 2x 3y = 9 3x 4y = 5 (iv) 3x – 5y = 4 9x – 2y = 7 Solution (i) x y = 14 x – y = 4 It can be written as x = 4 y By substituting the value in the above equationS/3 t/2 = 6 (iii) 3 x – y = 3 ;Solve x y = 14, x−y = 4 Solve x y = 1 4 ,



Solve X Y 14 And X Y 4 Of Pair Of Linear Equation By Graphical Method Brainly In



Ex 3 3 1 Solve By Substitution Method I X Y 14 Ex 3 3
X – y = 4 solve first equation x y = 14 x = 14 y (1) plug this value in equation second we get x – y = 4 14 – y y = 4 Add 14 both side we get 2 y = 4 14 2 y = 10 Y = 10/2 Y = 5 Plug y = 5 in equation first we get X = 14 – yFree math problem solver answers your algebra, geometry, trigonometry, calculus, and statistics homework questions with stepbystep explanations, just like a math tutor1 solution(s) found {x,y}={4,9} {x,y}={4,9} See steps Step by Step Solution System of Linear Equations entered 1 x 2y= 14 2 x y= 13 Graphic Representation of the Equations 2y x = 14 y x



1 Solve The Following Pair Of See How To Solve It At Qanda



Ncert Class 10 Mathematics Chapter Wise Questions And Answers And Solutions
· Solve by substitution method xy=14 xy=4 Maths Pair of Linear Equations in Two VariablesAre solved by group of students and teacher of Class 10, which is also the largest student community of Class 10 If the answer is not available please wait for a while and a community member will probably answer this soonQues solve the pair by substitution method a) xy=14 xy=4 Math Pair of Linear Equations in Two Variables



Ex 3 3 1 Solve By Substitution Method I X Y 14 Ex 3 3



Ex 3 3 1 Solve By Substitution Method I X Y 14 Ex 3 3
(i) x y = 14 (i) x – y = 4 (ii) In eqn (i), x 4 = 14 ∴ x = 14 – y Substituting the value of 'x' in equation (ii), we have x – y = 4 (14 – y) – y = 4 14 – y – y = 4 14 2y = 4 2y = 4 – 14 2y = 10 2y = 10 ∴ x = 5 ∴ Substituting y = 5 in x = 14 – y, x = 14 – y = 14 – 5 x = 9Solve 7x 3y 14 = 0 and 7x 4y 25 = 0 using substitution method asked Apr 6,2505 · The Questions and Answers of 4/X 3y=14 3/x 4y=23 solve it by substitution method?


How To Solve 10 X Y 4 X Y 2 15 X Y 7 X Y 10 Quora



Ex 3 3 Q1 Solve The Following Pair Of Linear Equations By The Substitution Method I
Solve your math problems using our free math solver with stepbystep solutions Our math solver supports basic math, prealgebra, algebra, trigonometry, calculus and more · use substitution to solve for x and y and we have a system of equations here the first equation is 2 y is equal to X plus 7 and the second equation here is X is equal to y minus 4 so what we want to do when they say substitution what we want to do is substitute one of the variables with an expression so that we have an equation and only one variable and we can solve for it let0421 · Solution for solve system of equations using substitution method xy=6 xy=40



Solve The Following Pair Of Linear Equation By Substitution Method Tessshebaylo



X Y 14 X Y 4solve This By Substitution Method Brainly In
· Use the substitution method to solve the following system of linear equations 2x 2y = 10 x = –y 5?Asked Feb 14, 15 in ALGEBRA 2 by anonymous system0fequations; · Therefore, x = 18/5, y = 3/5 is the solution for the equations 2x 3y = 9, x = 3 y SEO Title Substitution Method for Solving System of Linear Equations Examples Meta Description Use the Substitution Method for Solving the Simultaneous Linear Equations easily Get Substitution Method Steps explained in detail with Example Problems



Simultaneous Linear Equations 1 X Y 14 X Y 4



1 Solve The Following Pair Of See How To Solve It At Qanda
1812 · Ex 33, 1 Solve the following pair of linear equations by the substitution method (i) x y = 14 x – y = 4 x y = 14 x – y = 4 From equation (1) x y = 14 x = 14 – y Substituting value of x in equation (2) x – y = 4 (14 – y) – y = 4 14 – y – y = 4 14 – 2y = 4 –2y = 4 – 14 –2y = –10 y = (−10)/(−2) y = 5 Putting y = 5 in (2) x – y = 4 x = y 4 x = 5 4 x = 9 Hence, x = 9, y = 5 is theQ1 Solve the following pair of linear equations by the substitution method (i) · The solution for the system of equations is color(red)(x = 2 , y=2 xy=4 x =color(red)( 4y equation (1) x3y=4equation (2) Substituting equation 1 in 2 to find x x3y=4 color(red)(4y) 3y=4 4 4y = 4 4y = 8 color(red)(y=2 Substituting y in equation 1 to obtain x x =4y x = 42 color(red)( x=2


Solve The Following Systems Of Equations 22 X Y 15 X Y 5 55 X Y 45 X Y 14 Sarthaks Econnect Largest Online Education Community



Au J J1 Solve The Following Pair Of Linear Equations By The Subs
Using matrix method, solve the system of equations 3x 2y 2z = 3, x 2y 3z = 6, 2xy z = 2 asked Mar 24, 18 in Class XII Maths by rahul152 ( 2,8 points) determinants · Solve the following pair of linear equations by the substitution method (i) x y = 14 ;Students of a class are made to stand in a row If one student is extra in each row, there would be 2 rows less



1 Solve The Following Pair Of Linear Equations By The Substitution Method 1 X Y



Systems Of Equations With Substitution 2y X 7 X Y 4 Video Khan Academy
Solve each system by the substitution method x – y = 5 2x = 2y 14 To substitute means exactly that>replace one letter for another and simplify to find the other I will give each equation a name to help me follow the stepsAubrey is using the substitution method to solve the following system of equations y − x = 21 2y = 2x 16 She arrives at an answer of 8 = 21 She thinks that this answer means that the lines are parallel and that the system has no solution Aubrey wants to check her answerFree system of equations calculator solve system of equations stepbystep



Solved Solve The System By Substitution 13 X Y4 X Y 2 Chegg Com



Ncert Solutions For Class 10 Maths Chapter 3 Pair Of Linear Equations In Two Variables Ex 3 3 Cbsetuts Com
The following steps will be useful to solve system of linear equations using method of substitution Step 1 In the given two equations, solve one of the equations either for x or y Step 2 Substitute the result of step 1 into other equation and solve for the second variable Step 31006 · Solve for X and y of pair of linear equations xy=14;xy=4, by the substitution method Class 10 · Solving Systems Of Equations By Substitution Method In this method, we first find the value of one variable (y) in terms of another variable (x) from one equation Substitute this value of y in the second equation Second equation becomes a linear equation in x only and it can be solved for x Putting the
_if-xy9-and-xy14-find-the-value-of-x-y.jpg)


Solve For X And Y Of Pair Of Linear Equations X Y 14 X Y 4 By The Substitution Method Class 10 From X 14 Y Watch Video Hifimov Cc



Solve For X And Y X Y 14 X Y 14 Brainly In
The Substitution Method In this section, we review a completely algebraic technique for solving systems, the substitution method A means of solving a linear system by solving for one of the variables and substituting the result into the other equationThe idea is to solve one equation for one of the variables and substitute the result into the other equation



Solve The Following Pair Of Linear Equation By The Substitution Method X Y 14 X Y 4 Brainly In



Ex 3 3 1 Solve By Substitution Method I X Y 14 Ex 3 3



Solve The Following Systems Of Equations By Using The Method Of Substitution 1 X Y 10 X Y 62 X Brainly In



Solved 1 Point Use The Method Of Substitution To Solve Chegg Com



Solve By Substitution Method X Y 14 X Y 4 Maths Pair Of Linear Equations In Two Variables Meritnation Com



Write The Value Of K For Which The System Of Equations X Y 4 0



Exercise 3 3 Ve The Following Pair Of Linear Equations By The Substitution Method 1 Solve The


Solve The Following Systems Of Equations 10 X Y 2 X Y 4 15 X Y 5 X Y 2 Sarthaks Econnect Largest Online Education Community


Solved Solve The System By The Substitution Method Find The Solution Set Course Hero



1 Solve The Following Pair Of Linear Equations By The Substitution Method 1 X Y 14 Ii S T 3 X Y 4 Ii 3x Y 3 9x 3y 9 St 6 3 2 Iv 0 2x 0 3y 1 3 0 4x 0 5y 2 3 V V2x 13 Y 0



How Do Solve The Following Linear System X Y 1 4x 3y 1 Socratic


How To Solve 10 X Y 4 X Y 2 15 X Y 7 X Y 10 Quora



Solve The Following Pair Of L See How To Solve It At Qanda



X Y 14 Andx Y 4 Solve The Equations By Substitution Method Brainly In



Please Solve 6 2 3 4 The Following Systems S O X Y 14 X Y 4 2 X Maths Meritnation Com



Solved Review Exercises Use The Substitution Method To So Chegg Com



1 Solve The Following Pair Of Linear Equations By The Substitution



Solve The Pair Of Linear Equation By Substitution Method Tessshebaylo



Ex 3 3 1 Solve By Substitution Method I X Y 14 Ex 3 3 Solving Linear Equations Method



1 E The Following Pair Of Linear Equations By The Substitut Scholr



Solved 1 The Black Pearl Is Following A Course That Is R Chegg Com


The Substitution Method



6 Exercise 3 3 1 Solve The Following Pair Of Linear Equatio Scholr



Ex 3 3 1 Solve By Substitution Method I X Y 14 Ex 3 3



X Y 2 4 X 3 2y 5 Find It By Substitution Method Brainly In



Solve Systems Of Linear Equations By Substitution Expii



Systems Of Equations With Substitution 2y X 7 X Y 4 Video Khan Academy



Solve By Substitution Method X Y 14 X Y 4 Maths Pair Of Linear Equations In Two Variables Meritnation Com



X Y 8 2 X 2y 14 3 3x Y 12 11 By Substitution Method Maths Pair Of Linear Equations In Two Variables Meritnation Com



How Do You Solve The System Using The Elimination Method For X Y 7 And 2x 3y 17 Socratic



Solved 13 Solve The Following Systems Using The Elimin Chegg Com



Solve 22 X Y 15 X Y 5 55 X Y 45 X Y 14 Maths Pair Of Linear Equations In Two Variables Meritnation Com



Solve For X And Y Of Pair Of Linear Equations X Y 14 X Y 4 By The Substitution Method Class 10 Youtube



X Y 14 Amp X Y 4 Find By Cross Multiplication Brainly In



Exercise 3 3 1 Solve The Following Pair Of Linear Equations By The Substitution Method 0 X Y 14 I S 1 3 S 6 X Y 4 Ii 3x Y 3 9x 3y 9 V 0 2x 0 3y 13 0 4x 0 5y 23 12x 13



Solve The Following Pair Of Linear Equations By The Substitution Method X Y 14 X Y 4 Sahay Lms



Exercise 3 3 1 Solve The Following Pair Of Linear Equations By The Substitution Method 0 X



4 X Y 1 X Y 3 2 X Y 3 X Y 5 Use Substitution Method Maths Linear Equations In Two Variables Meritnation Com


Systems Of Linear Equations



Solve The Following Pairs Of Linear Equations By The Substitution Method X Y 14 X Y 4 Brainly In



Solve The X Y Is Equals To 14 And X Minus Y Is Equals To 4 By The Equation By The Substitution Brainly In



X Y 14 X Y 4 Solve Using Substitution Method Youtube



Solve The Pair Of Linear Equations X Y 14 X Y 4 Find X And Y Brainly In


Solve The Pair Of Linear Equation By Substitution Method Tessshebaylo



X Y 14 X Y 4 Solve Using Substitution Method Youtube



How To Solve Simultaneous Equations Using Substitution Method


Solve For X And Y X Y 8 2 X 2y 14 3 3x Y 12 11 Sarthaks Econnect Largest Online Education Community


Solved 6 2 Solving Systems Of Linear Equations 455 We Hav Chegg Com


How Do You Solve The System 2 X 4 Y 6 3x 2 Y 3 13 Socratic



Solve For X And Y X Y 14 X Y 14 Brainly In


R D Sharma Solutions Class 10th Ch 3 Pair Of Linear Equations In Two Variables Exercise 3 3



T 9 Gone15 Resolve X Y 13 X Y 2 Substitution Method Un



Solve X Y 14 And X Y 4 By Substitution Method Brainly In



1 Solve The Following Pair Of See How To Solve It At Qanda


R D Sharma Solutions Class 10th Ch 3 Pair Of Linear Equations In Two Variables Exercise 3 3



Kseeb Sslc Class 10 Maths Solutions Chapter 3 Pair Of Linear Equations In Two Variables Ex 3 3 Kseeb Solutions


Solve The Following Pair Of Linear Equations By The Substitution Method I X Y 14 Sarthaks Econnect Largest Online Education Community



Simultaneous Equations



J19



Solve The Following Pair Of L See How To Solve It At Qanda


Solve The Following Pairs Of Linear Equations By The Substitution Method X Y 14 X Y 4 Sarthaks Econnect Largest Online Education Community
_solve-for-x-and-y-of-pair-of-linear-equations-xy14x-y4-by-the-substitution-method-class-10-preview-3.jpg)


Solve For X And Y Of Pair Of Linear Equations X Y 14 X Y 4 By The Substitution Method Class 10 From X 14 Y Watch Video Hifimov Cc



Solve The Following Pair Of L See How To Solve It At Qanda



X Y 14 X Y 4 Youtube



Ex 3 3 Qno 1 1 Solve The Pair Of Linear Equations X Y 14 X Y 4 By Substitution Method Class 10 Youtube



Rd Sharma Class 10 Solutions Maths Chapter 3 Pair Of Linear Equations In Two Variables Exercise 3 3


The Substitution Method



Solve The Following Pair Of Linear Equation By The Substitution Method X Y 14 X Y 4 Brainly In


The Elimination Method